Номер 787 - ГДЗ Математика 5 класс. Мерзляк, Полонский. Учебник. Страница 200

Вернуться к содержанию учебника

Страница 200

784 785 786 787 788 789 790

Вопрос

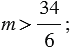
1) Какое наибольшее натуральное число удовлетворяет неравенству:

а)        б)

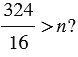
2) Какое наименьшее натуральное число удовлетворяет неравенству:

а)          б)

Подсказка

Вспомните:

  1. Что такое дробь.
  2. Сравнение дробей.
  3. Что такое смешанное число.

Ответ


Вернуться к содержанию учебника