Вернуться к содержанию учебника
Страница 200
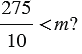
1) Какое наибольшее натуральное число удовлетворяет неравенству:
а)
б) 
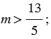
2) Какое наименьшее натуральное число удовлетворяет неравенству:
а)
б) 
Вспомните:
Вернуться к содержанию учебника