Задание 2.368 - ГДЗ Математика 6 класс. Виленкин, Жохов. Учебник часть 1

Старая и новая редакции

Вернуться к содержанию учебника

2.365 2.366 2.367 2.368 2.369 2.370 2.371

Вопрос

Выберите год учебника

№2.368 учебника 2023-2024 (стр. 94):

Упростите выражение:


№2.368 учебника 2021-2022 (стр. 87):

Вычислите и проверьте вычисления с помощью калькулятора:

1) 557,55 • (1,3689 + 0,7311) : (3,4 • 15,7 - 47,08);

2) 537,84 • (0,9078 + 1,2922) : (2,8 • 14,7 - 36,76);

3) (64,5 - 7,02 : 7,8) • (72 - 561,15 : 8,7) - 152,6;

4) (16,3 - 6,88 : 8,6) • (11,49 - 326,61 : 57) + 513,23.

Подсказка

№2.368 учебника 2023-2024 (стр. 94):

Вспомните:

  1. Распределительное свойство умножения.
  2. Смешанные числа, действия с ними.
  3. Сложение и вычитание дробей с одинаковыми знаменателями.
  4. Сложение и вычитание дробей с разными знаменателями.
  5. Приведение дробей к общему знаменателю.
  6. Основное свойство дроби (сокращение дробей).
  7. Неправильные дроби.

№2.368 учебника 2021-2022 (стр. 87):

Вспомните:

  1. Порядок выполнения действий.
  2. Сложение и вычитание десятичных дробей.
  3. Умножение десятичных дробей.
  4. Деление десятичных дробей.
  5. Вычисления на калькуляторе.

Ответ

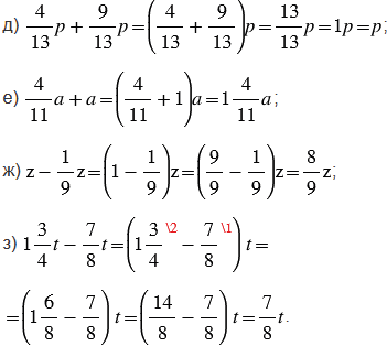
№2.368 учебника 2023-2024 (стр. 94):


Пояснения:

Чтобы упростить данные выражения, используем распределительное свойство умножения относительно сложения или относительно вычитаем, а именно выносим одинаковый множитель (букву) за скобки и выполняем вычисления в скобках по правилам, указанным ниже.

Чтобы найти сумму (разность) двух дробей с одинаковыми знаменателями, нужно сложить (вычесть) их числители, а знаменатель оставить прежним.

Чтобы сложить (вычесть) две дроби с разными знаменателями, надо: привести данные дроби к общему знаменателю, а затем применить правило сложения (вычитания) дробей с одинаковыми знаменателями.

Чтобы найти разность смешанных чисел, надо: дробные части этих чисел привести к наименьшему общему знаменателю; если дробная часть уменьшаемого больше дробной части вычитаемого, то надо отдельно вычесть целые и отдельно дробные части и результаты сложить; если дробная часть уменьшаемого меньше дробной части вычитаемого, то надо превратить ее в неправильную дробь, уменьшив на единицу целую часть, и отдельно вычесть целые и отдельно дробные части и результаты сложить.

Также помним то, что дробь, у которой числитель и знаменатель одинаковые, равна единице.

Если при вычислениях получилась сократимая дробь ее нужно сократить. Сократить дробь - значит, разделить ее числитель и знаменатель на одно и то же число (наибольший общий делитель).


№2.368 учебника 2021-2022 (стр. 87):

1) + 1 , 3 6 8 9
  0 , 7 3 1 1
    2 , 1 0 0 0
2)   × 1 5 7
      3 4
  +   6 2 8
  4 7 1  
    5 3 3 8
           
3) - 5 3 , 3 8
  4 7 , 0 8
      6 , 3 0
4)   ×   5 5 7 5 5
            2 1
  +     5 5 7 5 5
  1 1 1 5 1 0  
    1 1 7 0 8 5 5
5) - 1 1 7 0 8 5 5     6 3        
    6 3             1 8 5 8 5
    - 5 4 0                      
    5 0 4                      
      - 3 6 8                    
      3 1 5                    
        - 5 3 5                  
        5 0 4                  
          - 3 1 5                
          3 1 5                
                0                

1) + 0 , 9 0 7 8
  1 , 2 9 2 2
    2 , 2 0 0 0
2)   × 1 4 7
      2 8
  + 1 1 7 6
  2 9 4  
    4 1 1 6
         
3) - 4 1 , 1 6
  3 6 , 7 6
      4 , 4 0
4) - 2 2       4 4  
  2 2 0     0 , 5
        0          
5) × 5 3 7 8 4
        0 5
  2 6 8 9 2 0

1) - 7 0 2     7 8
  7 0 2     0 9
        0        
         
2) - 6 4 , 5
    0 , 9
    6 3 , 6
3) - 5 6 1 1 5     8 7  
  5 2 2         6 4 5
    - 3 9 1            
    3 4 8            
      - 4 3 5          
      4 3 5          
            0          
       
4) - 7 2 , 0
  6 4 , 5
      7 , 5
5)   ×   6 3 6
        7 5
  +   3 1 8 0
  4 4 5 2  
    4 7 7 0 0
           
6) - 4 7 7 , 0
  1 5 2 , 6
    3 2 4 , 4

1) - 6 8 8     8 6
  6 8 8     0 8
        0        
         
2) - 1 6 , 3
    0 , 8
    1 5 , 5
3) - 3 2 6 6 1     5 7  
  2 8 5         5 7 3
    - 4 1 6            
    3 9 9            
      - 1 7 1          
      1 7 1          
            0          
         
4) - 1 1 , 4 9
    5 , 7 3
      5 , 7 6
5)   ×   1 5 5
      5 7 6
  +     9 3 0
  1 0 8 5  
  7 7 5    
    8 9 2 8 0
6) + 5 1 3 , 2 3
    8 9 , 2 8
    6 0 2 , 5 1

Пояснения:

Действиями первой ступени называют сложение и вычитание чисел, а действиями второй ступени - умножение и деление чисел.

При вычислении значений выражений порядок выполнения действий определяют следующие правила:

1. Если выражение содержит только действия одной ступени и в нем нет скобок, то действия выполняют по порядку слева направо.

2. Если в выражении нет скобок, то сначала выполняют действия второй ступени, потом - действия первой ступени.

3. Если в выражении есть скобки есть скобки, то сначала выполняют действия в скобках (учитывая правила 1 и 2).

Красные числа, стоящие сверху над действиями, показывают в каком порядке нужно выполнять действия.


Вернуться к содержанию учебника