Номер 724 - ГДЗ Алгебра 7 класс. Мерзляк, Полонский. Учебник. Страница 125

Вернуться к содержанию учебника

Страница 125

721 722 723 724 725 726 727

Вопрос

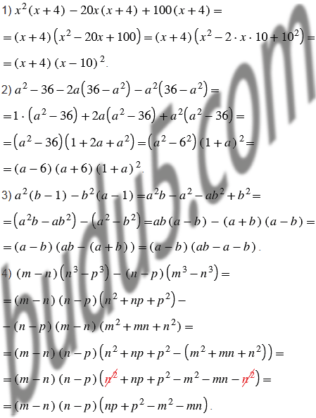
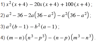
Представьте в виде произведения выражение:

Подсказка

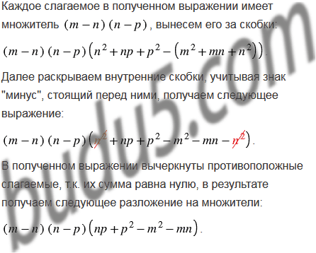
Ответ


Вернуться к содержанию учебника