Номер 46 - ГДЗ Алгебра 7 класс. Мерзляк, Полонский. Учебник. Страница 16

Вернуться к содержанию учебника

Страница 16

43 44 45 46 47 48 49

Вопрос

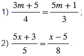
Найдите корень уравнения:

Подсказка

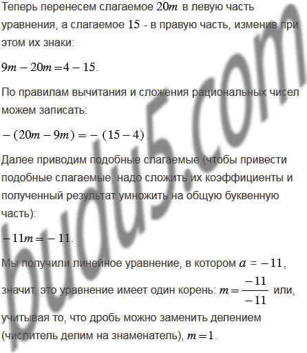
Ответ


Вернуться к содержанию учебника