Номер 780 - ГДЗ Математика 5 класс. Мерзляк, Полонский. Учебник. Страница 199

Вернуться к содержанию учебника

Страница 199

777 778 779 780 781 782 783

Вопрос

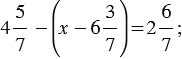
Решите уравнение:

1)           2)

Подсказка

Вспомните:

  1. Что такое дробь.
  2. Сложение и вычитание дробей с одинаковыми знаменателями.
  3. Какую дробь называют правильной, неправильной.
  4. Что такое смешанное число и как выполнять сложение и вычитание смешанных чисел.
  5. Сложение и вычитание натуральных чисел.
  6. Что называется уравнением.
  7. Что называется корнем уравнения.
  8. Правила нахождения неизвестного слагаемого, уменьшаемого и вычитаемого.

Ответ


Вернуться к содержанию учебника