Вернуться к содержанию рабочей тетради
Сложение и вычитание. Страница 72
Рыболов поймал 7 ершей, а карасей – на 4 больше. Сколько всего ершей и карасей поймал рыболов?

Повтори, что значит на 4 больше.

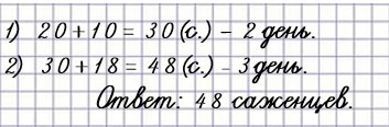
В первый день посадили 20 саженцев, во второй – на 10 саженцев больше, чем в первый, а в третий – на 18 саженцев больше, чем во второй. Сколько саженцев посадили в третий день?

Соедини отрезком каждую пару точек

1) Сколько всего отрезков получилось?
отрезков.
2) Найди периметр начерченного четырёхугольника.

Повтори, как найти периметр четырёхугольника.
Вспомни, что такое отрезок.
Решение

1) Сколько всего отрезков получилось?
отрезков.
2) Найди периметр начерченного четырёхугольника.

Пояснение
1) 
| 1 - оранжевый 2 - коричневый 3 - жёлтый 4 - зелёный 5 - красный | 6 - голубой 7 - красный 8 - зелёный 9 - синий 10 - фиолетовый |
2) 
Измеряю стороны четырёхугольника:

Вычисляю периметр фигуры:
Р = 2 см + 2 см + 3 см + 3 см = 10 см
Вернуться к содержанию рабочей тетради